পাঠান
পাঠান
মন্তব্য
লগ ইন
Search
Search
Home
About College
College History
College Infrastructure
College Rules
Library
Vacant and Sanctioned Post
Citizen Charter
Administration
Principal
Vice Principal
Teachers
Faculty Of Arts
Faculty Of Social Science
Faculty Of Science
Faculty Of Business Stadies
Physical Education Department
ICT Department
Staff and Employee
PTA
Committee
Teacher's & Staff’s Information Statement
Ex-Principals
Institutional Activities
Class Activities
Yearly Activities
Curriculum
Courses
Ex-Exam Results
HSC Results
Degree Results
Honors Results
Documentary
Department
Faculty Of Arts
Bangla
English
History
Islamic History and Culture
Philosophy
Home Economics
Faculty Of Social Science
Economics
Political Science
Social Work
Faculty Of Science
Physics
Chemistry
Mathematics
Botany
Zoology
Faculty Of Business Studies
Physical Education
Information and Communication Technology
Co-curriculum Activities
BNCC
Rover Scout
Red Crescent
Science & ICT Club
Debating Club
Environment Club
Sports & Cultural Activities
College Result
Other
Rule Out
Dormitory
Downloads
Contact
Gallery
Employees
Online Payment
News:
২০১৮-২০১৯ শিক্ষাবর্ষে একাদশ শ্রেণির ভর্তি বিজ্ঞপ্তি
জনাব মোঃ রফিকুল ইসলম এর বিভাগীয় অনাপত্তি ফরম(এনওসি)
জনাব মো রফিকুল ইসলাম বিভাগীয় অনাপত্তি ফরম (এনওসি)
২০১৭-১৮ শিক্ষাবর্ষে একাদশ শ্রেণিতে ভর্তি কার্যক্রমের সময়সূচি ও অন্যান্য বিষয় প্রসঙ্গে।
জনাব এ, কে, এম রশিদুল হাসান এর বিভাগীয় অনাপত্তি ফরম(এনওসি)
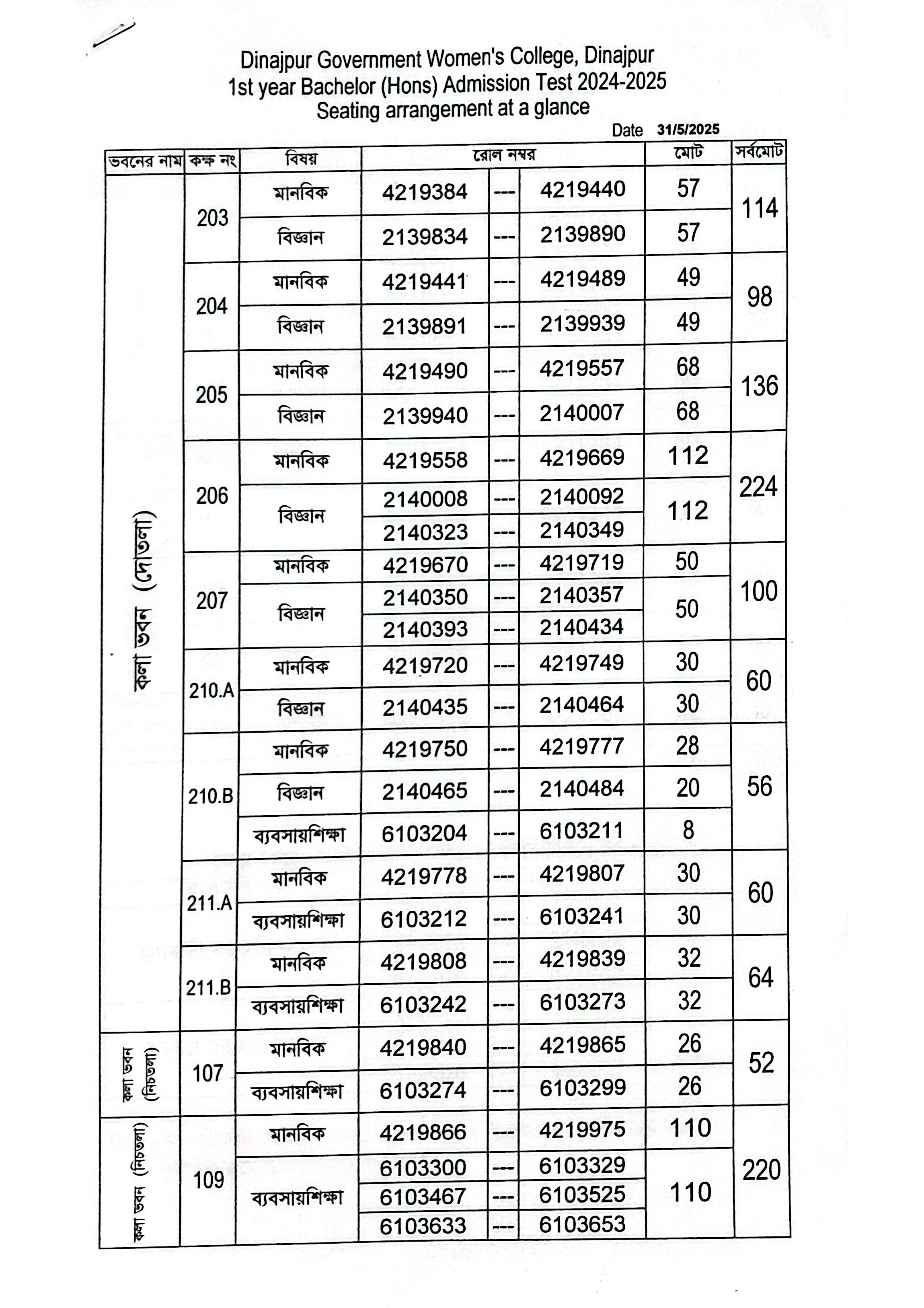
অনার্স ১ম বর্ষ ভর্তি পরীক্ষা ২০২৪-২০২৫ এর আসন বিন্যাস (copy)
Notice Board
15 April
2026
অনার্স ২য় বর্ষ (২০২৩-২০২৪ শিক্ষা বর্ষ ) শিক্ষার্থীদের ১ম ইনকোর্স...
15 April
2026
২০২৩-২০২৪ শিক্ষাবর্ষে মাস্টার্স (নিয়মিত) ভর্তির বিজ্ঞপ্তি
12 April
2026
বাংলা নববর্ষ ১৪৩৩ উদ্যাপন উপলক্ষ্যে বিভিন্ন কর্মসূচি
12 April
2026
জেলা প্রশাসকের কার্যালয়, দিনাজপুর কর্তৃক আয়োজিত বাংলা নববর্ষ ১৪৩৩...
12 April
2026
কোটেশনের জন্য বিজ্ঞপ্তি (RFQ)
সবগুলো জানতে »
Class Routine
01 September
2018
একাদশ বিজ্ঞান
01 September
2018
একাদশ মানবিক
01 September
2018
একাদশ ব্যবসায় শিক্ষা
01 September
2018
দ্বাদশ বিজ্ঞান
01 September
2018
দ্বাদশ মানবিক
সবগুলো জানতে »
Syllabus
Exam Routine
02 January
2025
উচ্চমাধ্যমিক (2023-2024) নির্বাচনী পরীক্ষার সংশোধিত রুটিন পিডিএফ
02 January
2025
উচ্চমাধ্যমিক (2023-2024) নির্বাচনী পরীক্ষার সংশোধিত রুটিন
05 December
2024
উচ্চমাধ্যমিক 2024-2025 শিক্ষাবর্ষের প্রথম সাময়িক পরীক্ষার রুটিন।
05 December
2024
উচ্চমাধ্যমিক 2024-2025 শিক্ষাবর্ষের প্রথম সাময়িক পরীক্ষার রুটিন।
Class Result
Academic Achievements
News
Events
14 May
2018
২০১৮-২০১৯ শিক্ষাবর্ষে একাদশ শ্রেণির ভর্তি বিজ্ঞপ্তি
10 November
2024
জনাব মোঃ রফিকুল ইসলম এর বিভাগীয় অনাপত্তি ফরম(এনওসি)
10 November
2024
জনাব মো রফিকুল ইসলাম বিভাগীয় অনাপত্তি ফরম (এনওসি)
11 July
2017
২০১৭-১৮ শিক্ষাবর্ষে একাদশ শ্রেণিতে ভর্তি কার্যক্রমের সময়সূচি ও...
17 May
2017
জনাব এ, কে, এম রশিদুল হাসান এর বিভাগীয় অনাপত্তি ফরম(এনওসি)
No events available
সবগুলো জানতে »
Important Links
জাতীয় শিক্ষা বোর্ড
শিক্ষা মন্ত্রনালয়
শিক্ষক বাতায়ন
ই-বুক
মাধ্যমিক ও উচ্চ শিক্ষা অধিদপ্তর
দিনাজপুর শিক্ষা বোর্ড অফিসিয়াল ওয়েবসাইট
মাল্টিমিডিয়া ক্লাসরুম ম্যানেজমেন্ট সিস্টেম
জাতীয় শিক্ষাক্রম ও পাঠ্যপুস্তক বোর্ড
জেলা প্রশাসকের কার্যালয়, দিনাজপুর।
বাংলাদেশ জাতীয় তথ্য বাতায়ন
Education Board Results
বিভাগীয় কমিশনারের কার্যালয়
eSIF
eFF
Directorate of Inspection and Audit
জাতীয় সংগীত
Important Download Link
Dynamic Calendar
◀
Loading...
▶
0
0
4
3
9
5
5